NovaCHemix

UV Absorbers JYSORB-UV-P

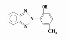
Name chemistry

2-(2h-benzotriazole-2-l) p-methylphenol

CAS No.

2440-22-4

Molecular weight

225

The shape

Melting point

128-133℃

Specification Packing

Product features and advantages

Product Application

JYS0RB-UV-P is a highly efficient light stabilizer of benzotriazole containing phenolic hydroxyl. It can be used in polyolefin, PVC, PS, PC, EVA, paint, powder coatings, polyurethane, rubber, etc., to provide good light stability effect. It protects the polymer from ultraviolet radiation, provides excellent photostability for the polymer, and is more suitable for thick products due to its volatility.

Safety and Protection

The package is 20kg or 500kg/ package, which can be customized. No special safety equipment is required. Store in a cool, dry and ventilated place according to general chemicals. Keep away from tinder, heat source, strong oxidant and strong reducing agent. It is recommended to take proper protective measures, try to avoid long-term contact with the product, after contact with eyes or skin rinse with plenty of running water. Keep for 12 months under suitable storage conditions. Additional safety and operation information can be found in the Easy JYS0RB-UV-P Safety Technical manual.